काठमाडौं । फागुन २१ गते हुने प्रतिनिधिसभा निर्वाचनका लागि दलहरू निर्वाचन क्षेत्र केन्द्रित प्रचार–प्रसारमा जुटेका छन् भने घोषणा पत्र तयारीमा समेत व्यस्त देखिएका छन्।
आगामी फागुन २० गतेसम्म १८ वर्ष पूरा हुने नागरिकले यसपटकको निर्वाचनमा मतदान गर्न पाउनेछन्। निर्वाचन आयोगका अनुसार फागुन २१ गते हुने निर्वाचनमा कुल १ करोड ७९ लाख ३ हजार ९९ जना मतदाताले मताधिकार प्रयोग गर्न सक्नेछन्।
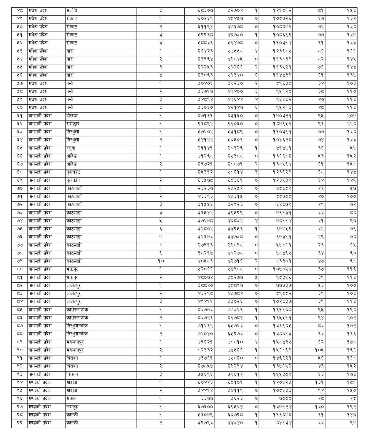
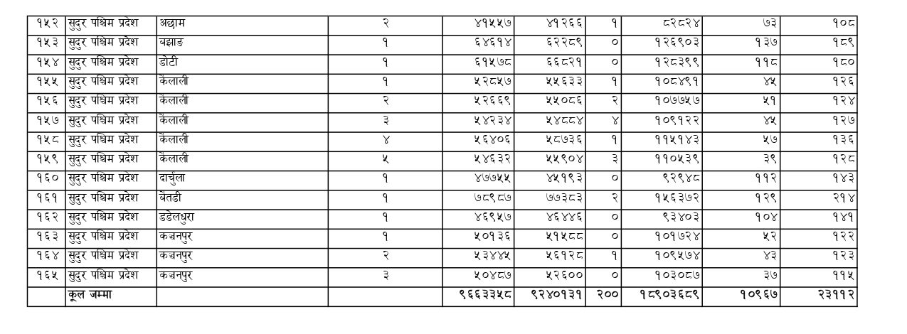
निर्वाचन आयोगले ७७ वटै जिल्लाका १६५ निर्वाचन क्षेत्रअनुसार मतदाता संख्या विवरण सार्वजनिक गरेको छ। सार्वजनिक तथ्यांकअनुसार सबैभन्दा धेरै मतदाता रामेछाप जिल्लामा रहेका छन्, जहाँ १ लाख ८७ हजार ९५२ जना मतदाता छन्।
त्यसैगरी सबैभन्दा कम मतदाता मनाङ जिल्लामा रहेका छन्, जहाँ करिब ७ हजार मतदाता मात्र छन्। रामेछाप र मनाङ दुवै जिल्ला एक–एक मात्र निर्वाचन क्षेत्र भएका जिल्ला हुन्।
आयोगले सार्वजनिक गरेको विवरणअनुसार विभिन्न निर्वाचन क्षेत्रमा मतदाता संख्यामा ठूलो अन्तर देखिएको छ।
कुन निर्वाचन क्षेत्रमा कति मतदाता
























