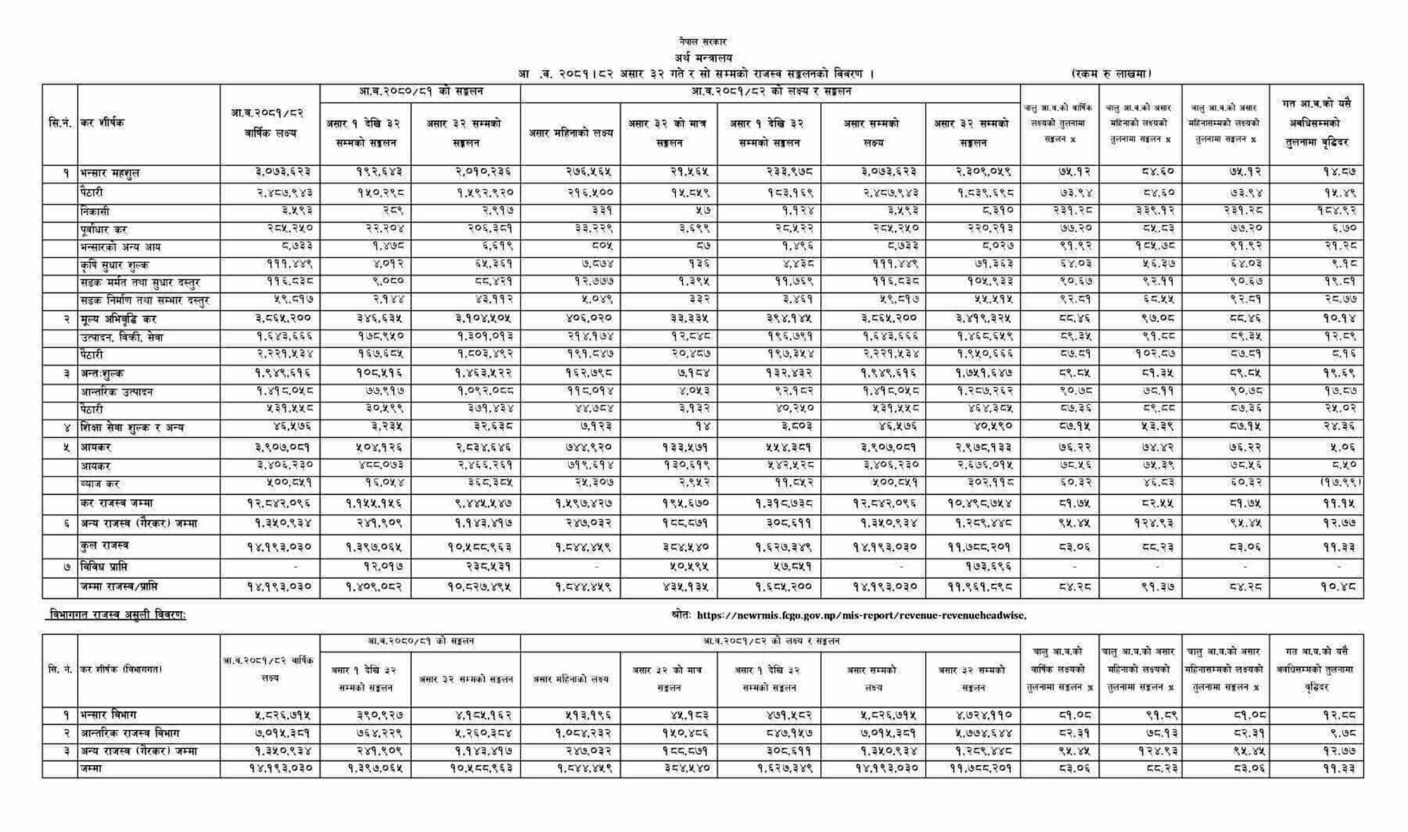
काठमाडौं । आर्थिक वर्ष २०८१/०८२ मा सरकारले कुल ११ खर्ब ७८ अर्ब ८२ करोड रुपैयाँ राजस्व संकलन गरेको छ। यो अघिल्लो आर्थिक वर्ष २०८०/०८१ मा संकलित १० खर्ब ५८ अर्बको तुलनामा १ खर्ब २० अर्बले बढी हो, जुन ११.३३ प्रतिशत वृद्धि हो।
यस वर्षको प्रारम्भिक बजेटमा १४ खर्ब १९ अर्ब राजस्व संकलन लक्ष्य लिइएको थियो। तर अर्धवार्षिक समीक्षापछि संशोधन गर्दै लक्ष्य १२ खर्ब ८६ अर्बमा झारिएको थियो। संशोधित लक्ष्य अनुसार ९१.६० प्रतिशत राजस्व संकलन हुन सफल भएको छ।
अर्थ मन्त्रालयअन्तर्गत राजस्व महाशाखा प्रमुख उत्तरकुमार खत्रीले विपद् र अन्तर्राष्ट्रिय चुनौतीका बाबजुद पनि अघिल्लो वर्षको तुलनामा राजस्व संकलन सन्तोषजनक रहेको बताएका छन्। उनका अनुसार, चालु आर्थिक वर्षको लागि तय गरिएको १३ खर्ब १५ अर्बको लक्ष्य पुरा गर्न तयारी थालिएको छ।
विगत १० वर्षको राजस्व संकलन विवरण:
- २०७१/०७२: ४ खर्ब ५ अर्ब
- २०७२/०७३: ४ खर्ब ८१ अर्ब
- २०७३/०७४: ६ खर्ब ९ अर्ब
- २०७४/०७५: ७ खर्ब २६ अर्ब
- २०७५/०७६: ८ खर्ब २९ अर्ब
- २०७६/०७७: ७ खर्ब ९३ अर्ब
- २०७७/०७८: ९ खर्ब ३५ अर्ब
- २०७८/०७९: १० खर्ब ६६ अर्ब
- २०७९/०८०: ९ खर्ब ५७ अर्ब
- २०८०/०८१: १० खर्ब ५८ अर्ब
राजस्व संकलनको यो निरन्तर वृद्धिले अर्थतन्त्रमा सुधारको संकेत दिएको छ भने आगामी वर्षहरूमा लक्ष्य अझ प्रभावकारी रूपमा पुरा हुने अपेक्षा गरिएको छ।


























